Reddy Lab

Publications   |   Lab Members

Overview of Reddy Lab

We are investigating how RNA dysfunction can cause neuromuscular disease and leveraging this knowledge to develop new therapeutic strategies. Our research is focused on myotonic dystrophy and on human ITPase enzyme deficiency using a combination of biochemical, cellular and genomic approaches. 


Research


Ongoing Projects
 

Reddy-project-1

Project 1
Microsatellite expansion disorders are a group of more than 60 neurological, neuromuscular and neurodegenerative diseases caused by expansions of simple DNA tandem repeat sequences (microsatellites). This group includes myotonic dystrophy types 1 and 2, caused by a CTG and CCTG repeat expansion respectively, C9orf72 amyotrophic lateral sclerosis and frontotemporal dementia, caused by a GGGGCC repeat expansion and Huntington disease caused by a CAG expansion. These repeats form toxic RNA molecules that lead to many detrimental downstream cellular consequences. We aim to understand how these toxic RNA molecules are regulated within the cell and to leverage this knowledge to design therapeutic strategies for the associated disorders.

 

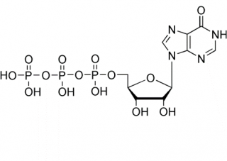
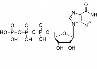
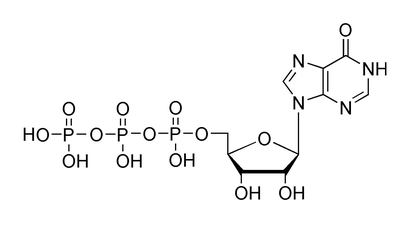
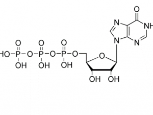
Diagram of inosine triphosphate.

Project 2
Human ITPase enzyme deficiency can result in severe developmental anomalies and is typically fatal in childhood with dilated cardiomyopathy as a major cause of death. The ITPase enzyme prevents accumulation of inosine and deoxyinosine triphosphate within NTP and dNTP pools. In the absence of ITPase, inosine accumulation can result in misincorporation into RNA and DNA. While the biochemical activity of ITPase is well understood, the molecular and cellular basis of pathogenesis resulting from ITPase dysfunction is unknown. We are studying the molecular and cellular consequences of ITPase dysfunction during development to better understand this rare genetic condition and to better understand gene networks that are active during normal healthy development that may be disrupted due to inosine misincorporation.

Reddy Lab Publications
Selected Publications
Selected Publications

Modified Polycyclic Compounds Rescue Mis-splicing in Myotonic Dystrophy Type 1 Disease Models

Jesus A. Frias, Sawyer M. Hicks, Hormoz Mazdiyasni, Subodh K. Mishra, Kahini Sarkar, Clara Yeboah, Noah M. LeFever, Marina M. Scotti, Hana Zeghal, Naomi Brandt, Sweta Vangaveti, Pramita Chakma, Ting Wang, Tammy S. Reid, Omari McMichael, Christopher Crumbaugh, Marina Provenzano, Melissa A. Hale, John D. Cleary, Nicholas E. Johnson, Eric T. Wang, Kaalak Reddy, J. Andrew Berglund.

ACS Chem Biol., 2026, doi: 10.1021/acschembio.5c00790

 

Identification of enzymatically modified isoquercitrin as a therapeutic lead for myotonic dystrophy type 1

Subodh K. Mishra, Sawyer M. Hicks, Jesus A. Frias, Jing Zhang, Mark T. Handley, Sweta Vangaveti, Tammy S. Reid, Aradhana Pandey, Omari McMichael, Christopher Crumbaugh, Marina Provenzano, Melissa A. Hale, Nicholas E. Johnson, Masayuki Nakamori, John D. Cleary, Kaalak Reddy, J. Andrew Berglund.

NAR Mol Med., 2026, doi: 10.1093/narmme/ugag007

 

Expression levels of core spliceosomal proteins modulate the MBNL-mediated spliceopathy in DM1

Jiss M Louis, Jesus A Frias, Jacob H Schroader, Lindsey A Jones, Emily E Davey, Claudia D Lennon, Jacob Chacko, John D Cleary, J Andrew Berglund, Kaalak Reddy  

Human Molecular Genetics, 2024, ddae125
 

The unusual structural properties and potential biological relevance of switchback DNA
 

Bharath Raj Madhanagopal, Hannah Talbot, Arlin Rodriguez, Jiss Maria Louis, Hana Zeghal, Sweta Vangaveti, Kaalak Reddy, Arun Richard Chandrasekaran  

Nature Communications, 2024, s41467-024-50348-3
 

Inosine triphosphate pyrophosphatase: A guardian of the cellular nucleotide pool and potential mediator of RNA function

Jacob H Schroader, Mark T Handley, Kaalak Reddy

WIREs RNA, 2023, wrna.1790
 

Disease-associated inosine misincorporation into RNA hinders translation

Jacob H Schroader, Lindsey A Jones, Ryan Meng, Hannah K Shorrock, Jared I Richardson, Sharon M Shaughnessy, Qishan Lin, Thomas J Begley, J Andrew Berglund, Gabriele Fuchs, Mark T Handley, Kaalak Reddy

Nucleic Acids Research, 2022, gkac709

 

CCG•CGG interruptions in high-penetrance SCA8 families increase RAN translation and protein toxicity 

Barbara A Perez, Hannah K Shorrock, Monica Banez-Coronel, Tao Zu, Lisa EL Romano, Lauren A Laboissonniere, Tammy Reid, Yoshio Ikeda, Kaalak Reddy, Christopher M Gomez, Thomas Bird, Tetsuo Ashizawa, Lawrence J Schut, Alfredo Brusco, J Andrew Berglund, Lis F Hasholt, Jorgen E Nielsen, SH Subramony, Laura PW Ranum 

EMBO Mol Med (2021)e14095

 

A CTG-repeat-selective chemical screen identifies microtubule inhibitors as selective modulators of toxic CUG RNA levels

Reddy K, Jenquin J, McConnell O, Cleary JD, Richardson JI, Pinto BS, Haerle MC, Delgado E, Planco L, Nakamori M, Wang ET and Berglund JA

Proceedings of the National Academy of Sciences of the United States of America · October 15, 2019

 

ITPase deficiency causes a Martsolf-like syndrome with a lethal infantile dilated cardiomyopathy

Handley MT, Reddy K, Wills J, Rosser E, Kamath A, Halachev M, Falkous G, Williams D, Cox P, Meynert A, Raymond E, Morrison H, Brown S, Allan E, Aligianis I, Jackson AP, Ramsahoye BH, von Kriegsheim A, Taylor RW, Finch AJ and FitzPatrick DR

PLoS Genetics · March 11, 2019

 

Ribonuclease H2 mutations activate the cGAS-STING nucleic-acid sensing pathway

Mackenzie KJ, Carroll P, Lettice L, Tarnauskaite Z, Reddy K, Dix F, Revuelta A, Abbondati E, Rigby RE, Rabe B, Kilanowski F, Grimes G, Fluteau A, Devenney PS, Hill RE, Reijns MAM and Jackson AP

EMBO Journal · February 22, 2016

 

TRAIP promotes DNA damage response during genome replication and is mutated in primordial dwarfism

Harley ME, Murina O, Leitch A, Higgs MR, Bicknell LS, Yigit G, Blackford AN, Zlatanou A, Mackenzie K, Reddy K, Halachev M, McGlasson S, Reijns MAM, Fluteau A, Martin C, Sabbioneda S, Elcioglu NH, Altmüller J, Thiele H, Greenhalgh L, Chessa L, Maghnie M, Salim M, Bober MB, Nürnberg P, Jackson SP, Hurles ME, Wollnik B, Stewart GS and Jackson AP

Nature Genetics · November 23, 2015

 

Processing of double-R-loops in (CAG)·(CTG) and C9orf72 (GGGGCC)·(GGCCCC) repeats causes instability

Reddy K, Schmidt MH, Geist JM, Thakkar NP, Panigrahi GB, Wang YH and Pearson CE

Nucleic Acids Research · August 21, 2014

 

The disease-associated r(GGGGCC)n repeat from the C9orf72 gene forms tract length-dependent uni- and multimolecular RNA G-quadruplex structures

Reddy K, Zamiri B, Stanley SYR, Macgregor, RB and Pearson CE

The Journal of Biological Chemistry · April 05, 2013

Principal Investigator
Kaalak Reddy
Kaalak Reddy
Research Faculty
The RNA Institute
Life Sciences 02099
members
Current Lab Members
Naa Nuerki Adade
Naa Nuerki Adade
PhD Student with Reddy and Fuchs Labs
The RNA Institute
Damini Devpura
Damini Devpura
MS student with Reddy Lab
The RNA Institute
Mark Handley
Mark Handley
Visiting Scientist with Reddy Lab
The RNA Institute
Jimoni Kalita
Jimoni Kalita
Stem For Development Academic Research Bridge Fellow with Reddy Lab
The RNA Institute
Nick Lane
PhD Student with Reddy Lab
The RNA Institute
Jiss Louis
Jiss Louis
Postdoctoral Associate with Berglund and Reddy Labs
The RNA Institute
Aatia Mreedu
Aatia Mreedu
Undergraduate Research Student
The RNA Institute
Samuel Quaynor
Samuel Quaynor
Stem For Development Academic Research Bridge Fellow with Reddy Lab
The RNA Institute
Veronica Volis
Veronica Volis
Undergraduate Research Student
The RNA Institute
Former Lab Members
Andrea Aguanno
Andrea Aguanno
Undergraduate Research Student (2024)
The RNA Institute
Mark Bratslavsky
Mark Bratslavsky
Undergraduate Research Student (2025)
The RNA Institute
Jacob Chacko
Jacob Chacko
Undergraduate Research Student (2024)
The RNA Institute
Ty Hamel
Ty Hamel
Reddy Lab Undergraduate (2022)
The RNA Institute
BSc 2023
Thomas Jambunathan
Thomas Jambunathan
Cornell University BS 2018 - 2022, RNA Institute Undergraduate Summer Research Program
The RNA Institute
Lindsey Jones
Lindsey Jones
Research Technician (2020-2022)
The RNA Institute
Marufa Kasham
Marufa Kasham
Reddy Lab Undergraduate (2022)
The RNA Institute
Jacob Schroader
Jacob Schroader
PhD Student (2020-2025)
The RNA Institute
Reddy Lab News