The Wang Group

Research in the Wang group is focused on synthesis of biological active natural products, pharmaceutically relevant molecules, oligonucleotides, carbohydrates, and peptides/proteins.

Welcome

  • The group members at Finger Lakes
    The group at the Finger Lakes

    The group attended the 2024 New York RNA symposium at the Finger Lakes

  • Members of The Wang Group stand alongside UAlbany's distinctive white pillars that extend into the distance
    The Team

    Members of The Wang Group stand alongside UAlbany's distinctive white pillars.

     

  • Team member Jiyeon stands before a poster describing her research at the undergraduate research symposium at the University at Albany
    The Research

    Jiyeon presents her summer research at the undergraduate research symposium.

     

  • Team member Evan stands before a chalkboard featuring a sketch of a structural formula.
    The Research

    Evan presents his research in a meeting of The Wang Group.

     

  • Two students enjoy some lunch as they listen to a peer's presentation.
    The Research

    Group members Dominic and Sarbjeet review a presentation by another group member.

     

Research in the Wang group is focused on the development of new synthetic methods for natural product synthesis. Of particular interest are the discovery of new synthetic strategies via visible light photocatalysis and cooperative catalysis, and their applications in the synthesis of small molecules, peptides, and proteins.

Diagram illustrating The Wang Group's research process of the development of new synthetic methods for natural product synthesis
  1. Chemical catalysis

    Photoacid catalysis: The goal of this program is to innovate in both the design and application of photoactive molecules, applying them to solve problems of biological and medicinal importance. By designing and synthesizing a new class of photo Brønsted acid and photo Lewis acid catalysts, we aim to discover new property and catalytic reactivity, and apply them to address synthetic challenges toward biological active molecules.

    Organosulfur resistant catalysis (Collaboration with Prof. Michael Yeung): Application of newly developed Pt catalyst from Yeung's group to the catalytic hydrogenation of sulfur containing organic compounds.
     
  2. Synthesis of natural products, peptides, carbohydrates

    We are interested in synthesizing biological active natural products, pharmaceutical related small molecules, peptides, and carbohydrates.

    Our group has been working on small molecules targeting Myotonic dystrophy (DM)
    (Collaboration with Prof. Andy Berglund and Prof. Kaalak Reddy). Myotonic dystrophy (DM) is a group of inherited muscle disorders characterized by muscle weakness and myotonia, with notably prolonged muscle contraction. There are two primary types of DM: type 1 (DM1) and type 2 (DM2), each caused by repeat expansions within specific genes. DM1 arises from a CTG repeat expansion within the DMPK (dystrophia myotonica protein kinase) gene, while DM2 is caused by a CCTG repeat expansion within the CNBP (CCHC-type zinc finger nucleic acid-binding protein) gene. Small molecules have emerged as promising therapeutic candidates toward DM, therefore, the goal of this program is to search a small molecule lead compound through synthesis of a library of modified polycyclic compounds (MPCs).

    Small molecule synthesis for PET imaging (Collaboration with Prof. Jason Cai at Yale University)

    We design and synthesize a library of protein ligands derived from the lead compounds disclosed from literature patents for PET imaging students.
     

  3. Photoswitchable control of different glutamate transporter sub-types
    (Collaboration with Prof. Annalisa Scimemi and Prof. Alex Shekhtman)

    In this project, we design and synthesize photoswitchable tethered ligands (PTLs) to study the functional properties of biological important proteins and precisely control the function of the proteins, particularly glutamate transporter sub-types in this project.
     
  4. Photoswitchable RNA/DNA chemistry

    We design and synthesize photoswitchable RNA to study the functional properties of oligonucleotide and precisely control the regulation of base pairing, DNA replication, RNA reverse transcription, as well as CRISPR-Cas gene editing systems. (Collaboration with Prof. Jia Sheng and Prof. Alex Shekhtman)

    In addition, we are also interested in incorporating the photoswitchable ligands to DNA nanoswitches. (Collaboration with Dr. Ken Halvorsen and Dr. Arun Richard Chandrasekaran)


     

Join our Group

Postdoctoral: Qualified and highly motivated candidates are encouraged to apply. Please send application materials as a single PDF file to [email protected]

Graduate Students: We are always looking for enthusiastic and highly motivated graduate students to join our group. Please check the UAlbany website for admissions details.

Undergraduate Students: Students interested in organic chemistry are encouraged to contact Ting directly.
 

Classes

Classes taught by Dr. Wang include Organic Chemistry I (ACHM 220) and Pre-organic Chemistry (ACHM 143). The mission of the pre-organic chemistry class is to help undergraduate students make a smooth transition from General Chemistry to Organic Chemistry.

There are probably two major reasons sophomore undergraduates who perform well in General Chemistry may struggle with Organic Chemistry. One is that the knowledge gap between General Chemistry and Organic Chemistry is fairly large. Most of freshman college students have been introduced to general chemistry in high school. Therefore, the transition between high school level chemistry to college level general chemistry is manageable.

However, when students enter to their second year, organic chemistry is a totally new subject for most of them. Together with abstract orbital theory, the 3-D molecular structures and much deeper mechanistic studies, students can be easily lost in the first half of Organic Chemistry.

The other issue is that the way to learn General Chemistry and Organic Chemistry is very different. To learn “How To Learn” is another serious project for undergraduate students. Pre-Organic Chemistry introduces organic chemistry to freshman and teaches them the way to learn Organic Chemistry in their following semester.
 

Related Links


 

The Wang Group
Ting Wang PhD
Assistant Professor
Department of Chemistry Room 309A

1400 Washington Avenue
Albany, NY 12222
United States

Phone
Fax
518-442-3462

Members

Principal Investigator

Picture of Ting Wang

Ting Wang
Senior Research Scientist
Ph.D., The Ohio State University (Craig J. Forsyth, advisor)
Postdoctoral Fellow.  Memorial Sloan Kettering Cancer Center/       Columbia University (Samuel J. Danishefsky, advisor)
Email: [email protected]                                                                           Phone: 518-442-3115


 

Graduate Students
 

Juncheng Li

Juncheng Li
B.S. Southern University of Science and Technology, China
[email protected]





 

Ibrahim Adelakun

Ibrahim Adelakun
B.S. Obefemi Awolowo University, Nigeria
[email protected]





 

Pramita Chakma

Pramita Chakma
M.S. University of Chittagong, Bangladesh
B.S. University of Chittagong, Bangladesh
[email protected]




 

Karly's photo

Karly Suhr
B.S. University at Albany, State University of New York
[email protected]





 

Savia Boyer

Savia Boyer
B.S. University at Albany, State University of New York
[email protected]

 

 

 

 

Undergraduate Students

Khadija Abdallah, UG4
Nada Elniel, UG3
Kaitlyn Reedy, UG3
Sanjida Ahmed, UG3
Xhesika Azis, UG3
Evan Newton, UG2
Kevin Kam, UG2

 

Group Alumni

Dr. Munsaf Ali, Postdoc (Oct. 2021 - Sep. 2022)
Dr. Jie Tong, Postdoc (Aug. 2019- July. 2020)
Dr. Jiaheng Li, Postdoc (July. 2018- Feb. 2020)
Dr. Lushun Wang, Postdoc (Mar. 2018- Feb. 2019)
Dr. Gaoyuan Zhao, Postdoc (Sep. 2016- Jan. 2019)
Dr. Kui Wu, Postdoc (Feb. 2016- Jan. 2018)
Dr. Yuliu Du, Postdoc (Aug. 2016- Jul. 2017)
Dr. Sarbjeet Kaur, PhD (Aug. 2016 - Dec. 2021)
Timothy Stock, Undergraduate
Daniel Conley, Undergraduate
Jiyeon Lim, Undergraduate
Evan Busch, Undergraduate
Roma Tarar, Undergraduate
Jessica Hayes, Undergraduate
Reginald Hyppolite, Undergraduate
Grace Essilfie-Bondzie, Undergraduate
Dominic Luciano, Undergraduate
Jessica Andras, Undergraduate
AJ Silvestro, Undergraduate
Charles Huang, Undergraduate
Ezinma Dennis, Undergraduate
Aisha Raza, Undergraduate
Olivia Thomas, Undergraduate
Sheridan Messier, Undergraduate
Madison Walker, Undergraduate
Shi Sewell, Undergraduate
Areej Chishti, Undergraduate
Sean Beck, Undergraduate
Callum Newton, Undergraduate

News and Events

  • Eight members of The Wang Group stand together on a campus sidewalk at the University at Albany.
    The Wang Groups is in the News

    Our team has earned many accolades over the years for presentations and research. More achievements are on the horizon!

2026

February

  • Our group's first medicinal chemistry work was published in ACS Chemical Biology! Congratulations to Pramita and thanks for all our collaborators.

January

  • Ibrahim won the 2026 Graduate Pathway for Scholars (GPS) Award! Congratulations! He presented his research in the Award Ceremony.
  • Welcome new undergraduate student Ayesha Mahmood!

2025

October

  • Karly successfully defended her MS thesis! Congratulations!!!
  • Welcome new group member Elena Toscano!

September

  • Pramita presented her research at SfN, Hudson-Berkshire Chapter, annual meeting!

August

  • Celebrating the RNA day! Jonathan and Sanjida presented their summer research!
  • Nada presented her research at the SURP symposium.

July

  • Juncheng's paper on Metal-free photocatalytic oxidative coupling is online on ChemComm.

June

  • Juncheng's paper on photoswitchable oligonucleotides is online in JACS! Fantastic collaboration with Jinxi and Weiwei in the group of Prof. Jia Sheng and Prof. Serdal Kirmizialtin.
  • The group had a lot of fun at the RNA Institute retreat at Schroon Lake! Welcome our summer undergraduate student Jonathan!
  • Congratulations to Nada for her award at the RNA Institute retreat!
  • Nada received SURP award for supporting her summer research in our group!

May

  • Congratulations on Savia's graduation!!!

April

  • Our undergraduate students, Khadija and Nada, presented their research at Regeneron Showcase!
  • Our undergraduate students, Xhesika and Sanjida, gave their talks in Biology Undergraduate Research Symposium!
  • Our undergraduate students, Khadija, Nada, and Kaitlyn, presented their research at UAlbany Showcase!
  • Savia successfully defended her MS thesis! Congratulations!

2024

December

  • Juncheng successfully defended his thesis! Congratulations, Dr. Juncheng Li!

October

  • Our collaborative work on sulfur-resistant catalysis has been published on ChemCatChem. Congratulations to all the authors!
  • Our group attended the 2024 New York RNA Symposium at the Finger Lakes. Juncheng gave a lightning talk and a poster presentation. Ibrahim gave his first poster presentation as a graduate student!

September

  • Welcome our new undergraduate students, Nada Elniel, Sanjida Ahmed, Xhesika Azis, and Evan Newton!

July

  • Our undergraduate students, Karly, Savia, Sean, and Callum, were awarded the first ever "Excellent in Chemistry Research" badge! Congratulations to all!

June

  • Juncheng gave a poster presentation at the RNA Institute Retreat.
  • The department 2023-2024 Honors and Awards just released! Congratulations to our undergraduate students for their excellent study and research! Savia and Karly won the Derk V. Tieszen Award. Kaitlyn Won the Shelton Bank Prize.

April

  • Our undergraduate students, Karly, Savia, Sean, and Callum, presented their research at UAlbany Showcase!

March

  • Jie's paper was published on Tetrahedron Letters! Our undergraduate student Savia Boyer is a co-author! Congratulations to all!

January

  • Welcome new undergraduate student Kaitlyn Reedy!

2023

November

  • Jie and Ibrahim's paper was published on Tetrahedron Letters! Our undergraduate students Sean and Callum are co-authors too! Congratulations to all!

October

  • Pramita presented her work in RNA institute research symposium!

September

  • Munsaf's paper was published on Organics! Congratulations!

July

  • Savia presented her research on Photoswitchable RNA chemistry at UASRP undergraduate research symposium!
  • Austin Zhang, a high school student, joined our lab for summer research! Welcome!

June

  • Savia received UASRP award to support her research in summer!
  • Karly and Savia received Undergraduate Summer Scholarship-Chemistry awards! Congratulations!
  • The department 2022-2023 Honors and Awards just released! Congratulations to our undergraduate students for their excellent study and research! Our students won the prestigious Shelton Bank Prize in back-to-back years! Congrats to Sheridan Messier (2022) and Karly Suhr (2023)! Savia Boyer won CRC Press Freshman Achievement Award (2022) and Morris and Rita Deutsch Scholarship Award (2023). Kadija Abdallah won Larry Snyder Award for Organic Chemistry (2023)!

April

  • Karly presented her work at UAlbany Showcase!
  • Welcome new undergraduate student Khadija Abdallah!

2022

December

  • Our collaborative work with Prof. Sheng and Prof. Hussain was published on Bio-protocol!

October

  • Amilcar's abstract for presentation at the annual biomedical research conference for minoritized scientists (ABRCMS) has been accepted! Well done!
  • Another undergraduate student, Savia Boyer, join our research group! Welcome on board!

September

  • We welcome three new undergraduate students, Karly Suhr, Sean Beck, and Callum Newton!

August

  • Juncheng presented his research at ACS meeting in Chicago!

June

  • Welcome our summer undergraduate research student Amilcar Campbell! Thanks for the funding from UASRP!

May

  • Juncheng reveived the Travel Award from the department! Congratulations!

April

  • Our collaborative work with Prof. Sheng and Prof. Hussain was published on Journal of Biological Chemistry! It is our first JBC paper!

2021

November

  • Gaoyuan and Juncheng's paper was published on Chemical Communications as a part of the themed collection "2021 Emerging Investigators".

October

  • Our paper on radical functionalization of thioglycosides in aqueous medium was published on Tetrahedron Letters! Congratulations on all the students. This is our first paper written by undergraduate student. Well done, Sheridan!

September

  • We welcome two new graduate students! Ibriham and Pramita!

May

  • Gaoyuan and Juncheng's paper was published on EJOC as a part of "YourJOC Talents" special collection.
  • We welcome three undergraduate students! Madison Walker, Areej Chishti, and Shi Sewell!

2020

January

  • We welcome four new undergraduate students! Sheridan Messier, Olivia Thomas, Ezinma Dennis, and Berfu Cicek!

2019

December

  • Juncheng's paper was published on Synlett! Congratulations!

November

  • Reginald Hyppolite presents his research at ABRCMS conference at California.
  • Dominic presents his research at UAlbany undergraduate research symposium.
  • Jessica presents her research at UAlbany undergraduate research symposium as student Keynote speaker!

August

  • Dr. Jie Tong joins to group! Welcome on board!
  • Jiaheng's paper was published on Acta Chim. Sinica. Congratulations!

July

  • Reginald Hyppolite presents his research at UASRP undergraduate research symposium.

June

  • Reginald Hyppolite joins the group to do summer research! Welcome! We appreicate UASRP for funding this research.
  • Dominic got an internship from Biogen! Congratulations!
  • Jessica received the inaugural Paul Gold Award! Congratulations!
  • Congratulations on Evan's graduation! Evan will start his career at AMRI as a chemist!

March

  • Aisha Raza joins the group to do undergraduate research! Welcome!

February

  • Jessica Andras joins the group to do undergraduate research on photocatalysis! Welcome!

2018

December

  • Kui and Lushun's paper was published on Angew. Chem. Int. Ed! Congratulations!

November

  • Ting was selected as one of the 2019's Thieme Chemistry Journals Awardees.
  • Gaoyuan's photoacid catalysis paper (ACIE, 2018, 57, 6120) has been highlighted in Angew. Chem. Int. Ed. https://doi.org/10.1002/anie.201811102 !
  • Charles Huang joined the group to do undergraduate research! Welcome!

October

  • Sarbjeet, Gaoyuan, and Evan's paper was published on Organic & Biomolecular Chemistry as part of "New Talent Themed Collection"! Congratulations!

September

  • AJ Silvestro and Roma Tarar joined the group to do undergraduate research! Welcome!

August

  • Juncheng joined the group. Welcome!
  • Sarbjeet presented her work in 256th ACS national meeting at Boston!

July

  • Grace presented her research at UASRP Research Symposium. Great job!
  • Grace presented her research at Undergraduate Research Conference (University at Buffalo). Great job!

June

  • Kui and Yuliu's paper was published on Chemical Communications! Congratulations!

May

  • Jessica Hayes joins the group to do undergraduate research on photocatalysis! Welcome!
  • Kui and Sarbjeet's paper was published on Synthesis as part of the Special Topic "Modern Radical Methods and their Strategic Applications in Synthesis"! Congratulations!

April

  • Dominic received the Larry Snyder Organic Chemistry Award! Congratulations!
  • Evan presented his research at Undergraduate Research Symposium (SUNY-Albany). Great job!
  • Yuliu's paper was published on Synthesis as part of the Special Topic "Photoredox Methods and their Strategic Applications in Synthesis"! Congratulations!
  • Grace received UASRP award to do research in summer! Congratulations!

March

  • Gaoyuan's paper was published on Angew. Chem. Int. Ed! Congratulations!
  • Dr. Lushun Wang joins the group. Glad to have you on board!

January

  • Grace Essilfie-Bondzie and Dominic Luciano join the group to do undergraduate research on photocatalysis! Welcome!

2017

October

  • Jiyeon presented her research at Undergraduate Research Symposium (SUNY-Albany). Great job!
  • Kui and Yuliu's paper was published on Organic Letters! Congratulations!

June

  • Gaoyuan and Sarbjeet's paper was published on Organic Letters! Congratulations!

February

  • Jiyeon Lim joins group to do undergraduate research!

2016

October

  • Timothy Stock and Evan Busch join group to do undergraduate research on organic synthesis!

September

  • Dr. Yuliu Du and Dr. Gaoyuan Zhao join the lab. Glad to have you on board!

August

  • Sarbjeet Kaur is now an official member of the Wang lab. Welcome!

May

  • Congratulations to Daniel Conley, UAlbany class of 2016!

March

  • Daniel Conley joins group to do undergraduate research on peptide synthesis!

February

  • Dr. Kui Wu joins the group. Glad to have you on board!

January

  • Our group website is live!

Publications

 

  1. Madhanagopal, B. R.; Wang, T.; Chandrasekaran, A. "Light-Responsive DNA Nanostructures" Nat. Chem. Rev. 2026, Accepted.
  2. Frias, J.; Hicks, S.; Mazdiyasni, H.; Mishra, S.; Sarkar, K.; Yeboah, C.; LeFever, N.; Scotti, M.; Zeghal, H.; Brandt, N.; Vangaveti, S.; Chakma, P.; Wang, T.; Reid, T. S.; McMichael, O.; Crumbaugh, C.; Provenzano, M.; Hale, M. A.; Cleary, J. D.; Johnson, N. E.; Wang, E. T.; Reddy, K.; Berglund, A.* “Modified polycyclic compounds rescue mis-splicing in myotonic dystrophy type 1 disease models” ACS Chem. Bio. 2026, ASAP.
  3. Li, J.; Adelakun, I. O.; Wei, Z.; Wang, T.* “Metal-free Photocatalytic Oxidative Coupling of Cyclic Ether and Alcohol” Chem. Comm, 2025, 61, 11818.
  4. Li, J.; Du, J.; He, W.; Adelakun, I. O.; Zhong, M.; Boyer, S. (UG); Zheng, Y. Y.; Lin, Q.; Kirmizialtin, S.*; Sheng, J.*; Wang, T.* “Designing Reversible Photoswitching Azobenzene Modified Nucleotide for Controlling Biological Function” J. Am. Chem. Soc. 2025, 147, 21638.
  5. Rosenberg, A. A.; Lintz, D.; Li, J.; Zhang, Y.; Doane, J.; Bristol, M. Kolakji, A.; Wang, T.*; Yeung, M.* “Tailoring High Entropy Borides for Hydrogenation: The Influence of Crystal Morphology and the Exploration of Catalytic Pathways”. Inorganic Chemistry Frontiers, 2025, 12, 4828.
  6. Rosenberg, A. A.; Li, J.; Zhang, Y.; Doane, J. T.; Rice, W.; Wang, T.*; Yeung, M. T.* “High entropy stabilized platinum diborides for poison-resistant catalysis” ChemCatChem. 2025, 17, e202401460.
  7. Tong, J.; Li, J.; Li, J.; Boyer, S. L. (UG); Wang, T.* “Cyanomethylation of imines enabled by a mild deprotonation of acetonitrile using a combination of TMSCF3 and CsF” Tetrahedron Lett. 2024, 141, 154937.
  8. Tong, J.; Adelakun, I. O.; Li, J.; Beck, S. R. (UG); Newton, C. S. (UG); Wang, T.* “Visible-light-mediated decarbonylation of cyclopropenones” Tetrahedron Lett. 2023, 133, 154838.
  9. Munsaf, A.; Li, J.; Sewell, S.; Wang, T.* “Recent advances in application of alkoxy radical in organic synthesis” Organics, 2023, 4, 459. (Editor’s Choice Article)
  10. Zheng, Y.; Haruehanroengra, P.; Yadav, P. K.; Irani, S.; Mao, S.; Wang, T.; Hussain, M. M.; Sheng, J.* “Synthesis of novel microRNA-30c analogs to reduce apolipoprotein B secretion in human hepatoma cells” Bio-protocol, 2022,12, e4574.
  11. Yadav, P. K.; Haruehanroengra, P.; Irani, S.; Wang, T.; Ansari, A.; Sheng, J.; Hussain, M. M.* “Novel efficacious microRNA-30c analogs reduce apolipoprotein B secretion in human hepatoma and primary hepatocyte cells” J. Bio. Chem. 2022, 298, 101813. 
  12. Zhao, G.; Li, J.; Wang, T.* “Visible-light-induced Photoacid Catalysis: Application in Glycosylation with O-glycosyl Trichloroacetimidates” Chem. Commun. 2021, 57, 12659. (Invited submission for the themed collection “2021 Emerging Investigators”) 
  13. Kaur, S.; Luciano, D. P. (UG); Fan, X.; Zhao, G.; Messier, S. (UG); Walker, M. M. (UG); Zhang, Q.; Wang, T. * “Radical Functionalization of Thioglycosides in Aqueous Medium” Tetrahedron Lett. 2021, 86, 153449.
  14. Zhao, G.; Li, J.; Wang, T.* “Metal-free Photocatalytic Intermolecular anti-Markovnikov Hydroamination of Unactivated Alkenes.” Eur. J. Org. Chem. 2021, 2650. (Invited submission for special collection “YourJOC Talents”)
  15. Li, J.; Zhao, G.; Wang, T.* “Organic-Photoacid-Catalyzed Glycosylation” Synlett 2020, 31, 823.
  16. Xiao, L.; Li, J.; Wang, T.* “Visible-Light-Induced N-Radical Directed Remote Functionalization of sp3 C-H Bonds” Acta Chim. Sinica 2019, 77, 841-849. (Invited submission for special issue “Organic Free Radical Chemistry”. 
  17. Wu, K.; Wang, L.; Colon-Rodriguez, S.; Flechsig, G.*; Wang, T.* “Amidyl Radical Directed Remote Allylation of Unactivated sp3 C-H Bonds via Organic Photoredox Catalysis” Angew. Chem. Int. Ed. 2019, 58, 1774-1778. 
  18. Kaur, S.; Zhao, G.; Busch, E. (UG); Wang, T.* “Metal-free Photocatalytic Thiol-Ene/Thiol-Yne Reactions” Org. Biomol. Chem. 2019, 17, 1955-1961. (Invited submission for “New Talent Themed Collection”
  19. Wu, K.; Du, Y.; Wei, Z.; Wang, T.* “Synthesis of Functionalized Pyrroloindolines via a Visible-Light-Induced Radical Cascade Reaction: Rapid Synthesis of (±) Flustraminol B” Chem. Commun. 2018, 54, 7443-7446. 
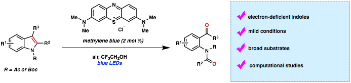
  20. Wu, K.; Fang, C.; Kaur, S.; Liu, P.*; Wang, T.* “Methylene Blue Catalyzed Oxidative Cleavage of N-Carbonylated Indoles” Synthesis 2018, 50, 2897-2907. (Invited submission for special issue “Modern Radical Methods and their Strategic Applications in Synthesis”)
  21. Zhao, G.; Wang, T.* “Stereoselective Synthesis of 2-Deoxyglycosides from Glycals by Visible-Light-Induced Photoacid Catalysis” Angew. Chem. Int. Ed. 2018, 57, 6120-6124. 
  22. Du, Y.; Wei, Z.; Wang, T.* “Visible-Light-Mediated Synthesis of Oxidized Amides via Organic Photoredox Catalysis” Synthesis 2018, 50, 3379-3386. (Invited submission for special issue “Photoredox Methods and their Strategic Applications in Synthesis”)
  23. Wu, K.; Du, Y.; Wang, T.* “Visible-Light-Mediated Construction of Pyrroloindolines via an Amidyl Radical Cyclization/Carbon Radical Addition Cascade: Rapid Synthesis of (±) Flustramide B” Org. Lett. 2017, 19, 5669-5672. 
  24. Zhao, G.; Kaur, S.; Wang, T.* “Visible-Light-Mediated Thiol-Ene Reactions through Organic Photoredox Catalysis” Org. Lett. 2017, 19, 3291-3294. 
  25. Levinson, A.; McGee, J.; Roberts, A.; Creech, G.; Wang, T.; Peterson, M.; Hendrickson, R.; Verdine, G.; Danishefsky, S. J. “Total Chemical Synthesis and Folding of all-L and all-D Variants of Oncogenice KRas (G12V)” J. Am. Chem. Soc. 2017, 139, 7632-7639.
  26. Wang, T.; Danishefsky, S. J. “Solid-phase Peptide Synthesis and Solid-phase Fragment Coupling Mediated by Isonitriles” Proc. Natl. Acad. Sci. USA 2013, 110, 11708-11713.
  27. Wang, T.; Danishefsky, S. J. “Revisiting Oxytocin through the Medium of Isonitriles” J. Am. Chem. Soc. 2012, 134, 13244-13247.
  28. Wang, B.; Hansen, T.; Weyer, L.; Wu, D.; Wang, T.; Christmann, M.; Lu, Y.; Ying, L.; Engler, M.; Cink, R.; Lee, C. S.; Ahmed, F.; Forsyth, C. J. “Total Synthesis of Phorboxazole A via de Novo Oxazole Formation: Convergent Total Synthesis” J. Am. Chem. Soc. 2011, 133, 1506-1516.
  29. Wang, B.; Hansen, T.; Wang, T.; Wu, D.; Weyer, L.; Ying, L.; Engler, M.; Sanville, M.; Leitheiser, C.; Christmann, M.; Lu, Y.; Chen, J.; Zunker, N.; Cink, R.; Ahmend, F.; Lee, C. S.; Forsyth, C. J. “Total Synthesis of Phorboxazole A via de Novo Oxazole Formation: Strategy and Component Assembly” J. Am. Chem. Soc. 2011, 133, 1484-1505.